
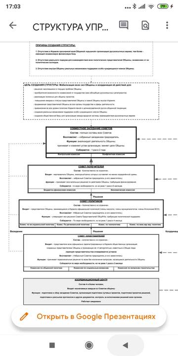
Выше приведен только снимок.
Вы можете кликнуть на ссылку,
чтобы увидеть подробную оригинальную СХЕМУ
Это старый документ для образца!!
Отредактировано Moshe (Вт, 1 Дек 2020 09:41)
Община Русскоязычных Израильтян |
Привет, Гость! Войдите или зарегистрируйтесь.
Вы здесь » Община Русскоязычных Израильтян » Строим Нашу Общину » СТРУКТУРА УПРАВЛЕНИЯ ОБЩИНЫ ВЫХОДЦЕВ ИЗ СССР-СНГ В ИЗРАИЛЕ (СХЕМА)

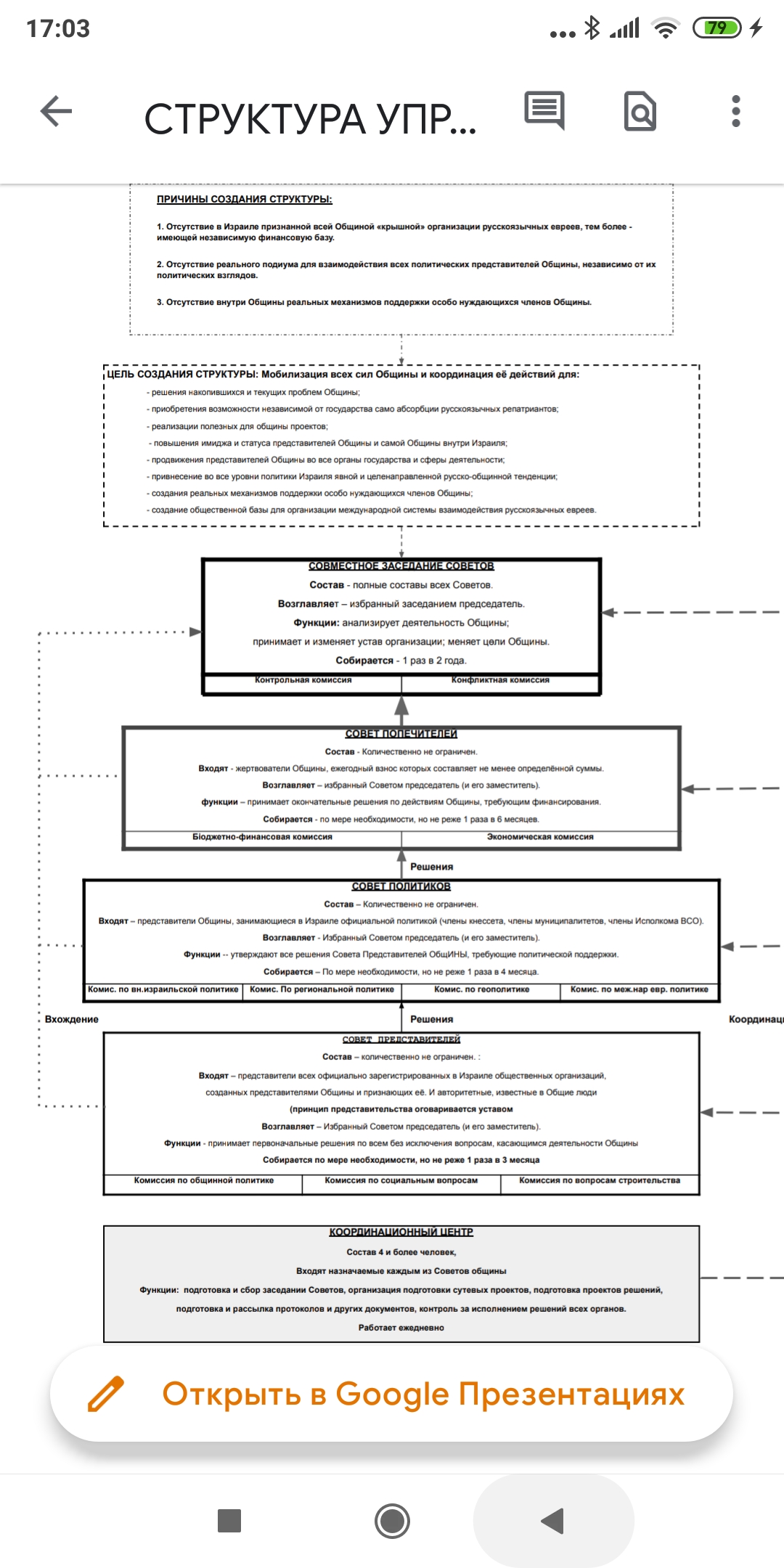
Выше приведен только снимок.
Вы можете кликнуть на ссылку,
чтобы увидеть подробную оригинальную СХЕМУ
Это старый документ для образца!!
Отредактировано Moshe (Вт, 1 Дек 2020 09:41)
Вы здесь » Община Русскоязычных Израильтян » Строим Нашу Общину » СТРУКТУРА УПРАВЛЕНИЯ ОБЩИНЫ ВЫХОДЦЕВ ИЗ СССР-СНГ В ИЗРАИЛЕ (СХЕМА)